카카오 회원 가입 시 2,000원 할인쿠폰
스토리 제품 블로그 제품 후기
NOCT Research Logo

교대근무 수면장애 극복, 멜라토닌 대신 수면패턴 회복하는 방법

교대근무 불면증, 멜라토닌만으로는 부족해요. 생체리듬 재설정부터 락티움·테아닌·마그네슘 조합으로 수면 유지하는 법까지 과학적 근거와 함께 정리했습니다. 깊은 잠을 위한 실전 솔루션을 지금 시작해 보세요!
김소정's avatar
김소정
Dec 03, 2025
교대근무 수면장애 극복, 멜라토닌 대신 수면패턴 회복하는 방법
Contents
한눈에 빠르게! 교대근무 수면장애 극복 30초 가이드교대근무 수면장애는 왜 발생할까?생체리듬이 반복적으로 흔들리는 이유코티솔 변동과 각성으로 깊은 수면이 어려운 조건교대근무자가 겪는 대표적인 수면 패턴 변화교대근무 수면패턴 극복, 어떻게 회복할까?생체리듬을 다시 세팅하는 기본 조절법야간근무자를 위한 수면유지 환경 구성락티움·테아닌·마그네슘이 수면유지에 기여하는 방식교대·야간 스케줄별 수면 전략야간근무 수면, 멜라토닌이 한계인 이유입면에는 유효, 수면유지 작용은 제한적불규칙한 생체리듬에서 나타나는 효과 편차다음날 컨디션에 영향을 주는 잔여 효과교대근무 불면증 극복, 멜라토닌 대체제 선택 가이드밤사이 깨지지 않는 ‘수면 안정성’을 높여주는 구성신경·근육계 안정에 관여하는 구성GABA 활성화로 수면 리듬 신호를 강화하는 구성교대근무자가 고려할 수 있는 멜라토닌 대체 영양제 조합교대근무자가 자주 묻는 질문(FAQ)Q1. 야간근무 후 바로 자는 것이 효과적인가요?Q2. 교대근무자의 낮잠은 어느 정도가 적절한가요?Q3. 수면 케어 성분은 언제 섭취하는 것이 적절한가요?매일 밤 뒤척이는 교대근무자에게 필요한 건

교대근무 수면장애로 매일 밤 뒤척이고 계신가요?

밤낮이 바뀌는 근무를 하다 보면 잠들기도 어렵고, 자다가 자주 깨고, 아침엔 개운하지 않은 상태로 출근하게 돼요.

라토닌을 먹어봐도 새벽에 깨는 건 여전하고, 낮에는 졸음이 쏟아지죠.

이 글에서는 교대근무자의 수면 문제가 왜 생기는지, 생체리듬을 회복하는 방법부터 멜라토닌 대신 고려할 수 있는 수면 케어 방법까지 정리해 드릴게요.

한눈에 빠르게! 교대근무 수면장애 극복 30초 가이드

  1. 교대근무 수면장애는 생체리듬 혼란과 코티솔 변동으로 발생하며, 입면보다 수면 유지가 더 어려워요.

  2. 빛 노출 관리가 핵심이에요. 야간근무 중엔 밝게, 퇴근 후엔 선글라스로 차단, 수면 전엔 완전 암막하세요.

  3. 멜라토닌은 입면에만 유효하고 수면유지 작용은 제한적이에요. 교대근무자에겐 효과 편차가 커요.

  4. 락티움·테아닌·마그네슘 조합은 코티솔 조절부터 수면 안정, 근육 이완까지 전체 수면 주기를 관리해요.

  5. 근무 형태별 전략이 필요해요. 3교대는 수면 시간 고정, 고정 야간은 매일 같은 시간 취침이 효과적이에요.

교대근무 수면장애 발생하는 이유

교대근무 수면장애는 왜 발생할까?

생체리듬이 반복적으로 흔들리고, 체내시계 신호가 불안정해지며, 코티솔 변동과 각성으로 깊은 수면이 어려워지기 때문이에요.

우리 몸은 빛과 어둠에 따라 수면-각성 주기를 조절하는 '일주기 리듬(Circadian Rhythm)'을 가지고 있어요. 교대근무는 이 생체시계를 반복적으로 교란시켜 수면의 질을 떨어뜨리죠. 특히 야간근무 후 낮에 자려고 해도 빛 노출, 소음, 체온 리듬 불일치로 인해 깊은 수면에 들기 어려워요.

생체리듬이 반복적으로 흔들리는 이유

교대근무는 근무 시간대가 매번 달라져 체내시계(일주기 리듬)가 일정한 패턴을 유지하지 못해요.

시상하부의 시교차상핵(SCN)은 빛 신호를 받아 멜라토닌 분비를 조절하는데, 야간근무 중 밝은 조명에 노출되면 '낮'이라고 착각해 멜라토닌 분비가 억제됩니다.

반대로 낮에 자려고 해도 밝은 환경 때문에 멜라토닌이 충분히 분비되지 않아 입면이 어려워지죠. 이런 불일치가 반복되면 체내시계가 혼란을 겪고, 수면-각성 주기가 불규칙해집니다.

교대근무와 일주기 리듬을 연구한 논문에 의하면, 불규칙한 근무 패턴이 멜라토닌 분비 시간을 3~4시간 지연시켜 만성적인 입면 장애를 유발한다고 보고했어요.

코티솔 변동과 각성으로 깊은 수면이 어려운 조건

코티솔은 아침에 높고 밤에 낮아지는 리듬을 가진 스트레스 호르몬인데, 교대근무는 이 리듬을 무너뜨립니다.

정상적으로 코티솔은 오전 6~8시에 최고치에 도달해 각성을 유도하고, 밤 10시 이후에는 최저치로 떨어지며 수면을 준비해요.

하지만 야간근무자는 밤에 일해야 하기 때문에 코티솔이 밤에도 높게 유지되고, 낮에 자려고 할 때는 코티솔이 여전히 높아 각성 상태가 지속돼요. 이로 인해 잠들어도 얕은 수면(NREM 1~2단계)만 반복되고 깊은 수면(NREM 3~4단계)에 도달하기 어려워지는 거죠.

교대근무자는 야간에도 각성을 유지해야 하기 때문에 코티솔 리듬이 무너지고, 밤에도 코티솔 수치가 높게 유지되는 경향이 있어요. 이런 호르몬 불균형은 수면 유지를 어렵게 만들고, 수면 효율 저하로 이어집니다.

교대근무자가 겪는 대표적인 수면 패턴 변화

교대근무자는 입면 장애, 중간 각성 증가, 총 수면 시간 감소를 동시에 경험해요.

교대근무 수면 영향 연구에 따르면, 입면 지연, 잦은 각성, 낮 수면 시간 부족 등 전반적인 수면 질 저하가 반복적으로 나타난다고 보고돼요. 특히 3교대 근무자는 일반 근무자보다 입면 시간과 각성 빈도가 유의하게 높아 ‘깊은 잠’에 도달하기 어려운 패턴이 나타나요.

📚함께 읽으면 좋은 글 불면증에 좋은 음식, 영양제, 차 추천

교대근무 수면패턴 극복, 어떻게 회복할까?

3교대 근무자 수면패턴 극복 방법

생체리듬을 재설정하고, 수면 환경을 최적화하며, 이완 성분을 섭취하는 방법으로 수면 패턴을 회복할 수 있습니다.

교대근무로 무너진 수면 패턴은 단기간에 회복되지 않아요. 체내시계를 다시 맞추고, 수면을 방해하는 외부 요인을 제거하며, 신체가 자연스럽게 이완될 수 있도록 돕는 영양소를 섭취하는 통합적인 접근이 필요해요.

생체리듬을 다시 세팅하는 기본 조절법

빛 노출 관리와 규칙적인 수면 시간 설정이 생체리듬 회복의 핵심입니다.

빛 노출 전략

  • 야간근무 중: 밝은 조명(2500~3000 lux) 노출로 각성 유지

  • 퇴근 후: 선글라스 착용해 아침 햇빛 차단

  • 수면 전: 암막 커튼으로 완전히 어두운 환경 조성

  • 기상 후: 밝은 빛(일광 또는 10,000 lux 광치료기) 30분 노출

야간 근무자와 환경 관련 연구에 따르면 교대근무자는 빛 노출에 더 민감하게 반응합니다. 야간근무 후 밝은 빛을 차단하면 멜라토닌 분비 타이밍이 자연스럽게 회복되면서 입면이 앞당겨지는 경향이 있다는 연구 결과가 있어요. 즉, 수면 전 어두운 환경을 유지하는 것만으로도 리듬 회복에 도움이 될 수 있어요.

수면 시간 고정

교대 스케줄이 바뀌어도 수면 시작 시간을 최대한 일정하게 유지하세요. 예를 들어 야간근무 후에는 항상 오전 9시에 잠드는 식으로 루틴을 만들면 체내시계가 패턴을 학습해요.

야간근무자를 위한 수면유지 환경 구성

소음 차단, 실내 온도 조절, 카페인 섭취 시간 관리가 수면 유지에 중요해요.

1. 야간근무자 환경 최적화

요소

권장 사항

소음

귀마개 또는 백색소음기 사용

온도

18~20°C 유지

습도

40~60% 유지

침구

암막 안대, 차광 커튼

2. 카페인 관리

퇴근 4~6시간 전부터는 카페인 섭취를 중단하는 게 좋아요. 카페인의 반감기는 약 5시간이지만, 개인차가 크기 때문에 수면에 민감한 분은 더 일찍 끊어야 해요.

3. 낮잠 방법

야간근무 전 20~30분 정도의 짧은 낮잠은 각성도를 높여주지만, 90분 이상 자면 깊은 수면에 들어가 수면 관성(sleep inertia)으로 오히려 피곤해질 수 있어요.

락티움, 테아닌, 마그네슘 수면유지에 기여하는 방식

락티움·테아닌·마그네슘이 수면유지에 기여하는 방식

락티움은 스트레스 호르몬 조절, 테아닌은 뇌파 안정, 마그네슘은 근육 이완으로 각각 수면 단계를 지원해요.

✅ 락티움 (유단백가수분해물)

우유 단백질에서 추출한 알파-S1 카제인 가수분해물로, 코티솔 수치를 정상 범위로 낮춰 신경을 안정시켜요. 교대근무로 높아진 코티솔을 조절해 입면을 돕고, GABA 수용체를 활성화해 수면 중 각성을 줄여줘요.

알파s1 카제인 성분과 수면 장애 관련 연구에서 수면 효율과 수면의 질이 개선되는 경향이 보고됐어요. 4주간 섭취한 그룹은 위약 대비 ‘입면 지연 감소’와 ‘수면 효율 증가’가 관찰된 연구도 있죠. 개인차는 있지만, 교대근무처럼 각성이 높아진 환경에서 ‘잠들기 편해지고, 덜 깨는 방향’으로 도움될 수 있는 성분이에요.

📚 함께 읽으면 좋은 글 락티움 수면보조제 효과와 부작용 총 정리

✅ L-테아닌

녹차에서 추출한 아미노산으로, 뇌의 알파파를 증가시켜 긴장을 풀어줘요. 명상 상태와 유사한 이완 효과를 주면서도 졸음을 유발하지 않아, 교대근무 전후 긴장 관리에 도움이 됩니다.

L-테아닌이 수면에 미치는 영향 관련 논문에서 알파파 증가·심박수 안정 등 이완 반응이 관찰됐어요. 특히 200mg 섭취 시 주관적 수면 질이 개선되고 기상 시 피로감이 완화되는 것으로 나타났죠. 테아닌은 졸음을 직접 유도하기보다는 긴장을 낮춰주기 때문에, 교대근무로 인한 신경 과각성을 완화하는 데 효과적이에요.

✅ 마그네슘

GABA 신경전달물질 활성을 돕고 근육을 이완시켜 깊은 수면을 유도해요. 교대근무자는 스트레스로 마그네슘 소모가 많아 결핍되기 쉬운데, 마그네슘 글리시네이트 형태로 300~400mg 섭취하면 수면 효율이 향상돼요.

이 세 가지 성분을 조합하면 입면-수면유지-기상 컨디션까지 전체 수면 주기를 관리할 수 있어요. 녹트리서치 슬립케어처럼 락티움 + 테아닌 + 마그네슘 + 비타민B6를 과학적 비율로 배합한 제품은 단일 성분보다 시너지 효과가 클 수 있습니다.

📚 함께 읽으면 좋은 글 테아닌 효능과 부작용, 고르는 법까지

교대·야간 스케줄별 수면 전략

근무 형태에 따라 수면 전략을 다르게 가져가야 해요. 3교대는 근무 주기에 맞춰 수면 시간을 고정하고, 2교대는 야간근무 직전 20~30분 낮잠으로 각성도를 높이며, 고정 야간근무는 매일 같은 시간에 수면을 취하는 것이 효과적입니다.

3교대 근무 (주·저녁·야간 순환)

근무

수면 시간

전략

주간 근무

밤 10시~오전 6시

정상 수면 패턴 유지

저녁 근무

새벽 2시~오전 10시

퇴근 후 즉시 수면, 오후 기상

야간 근무

오전 8시~오후 4시

암막 환경, 수면 전 락티움 섭취

고정 야간근무

매일 같은 시간에 자고 일어나면 체내시계가 적응해요. 수면 시작 시간을 오전 9시로 고정하고, 기상 시간도 오후 5시로 일정하게 유지하세요.

불규칙 교대

스케줄이 자주 바뀌면 체내시계 적응이 어려워요. 이럴 때는 '앵커 슬립(anchor sleep)' 전략을 사용하세요. 어떤 근무든 최소 4시간은 같은 시간대에 자도록 해서 체내시계에 최소한의 규칙성을 부여하는 거예요.

야간근무 수면, 멜라토닌이 한계인 이유

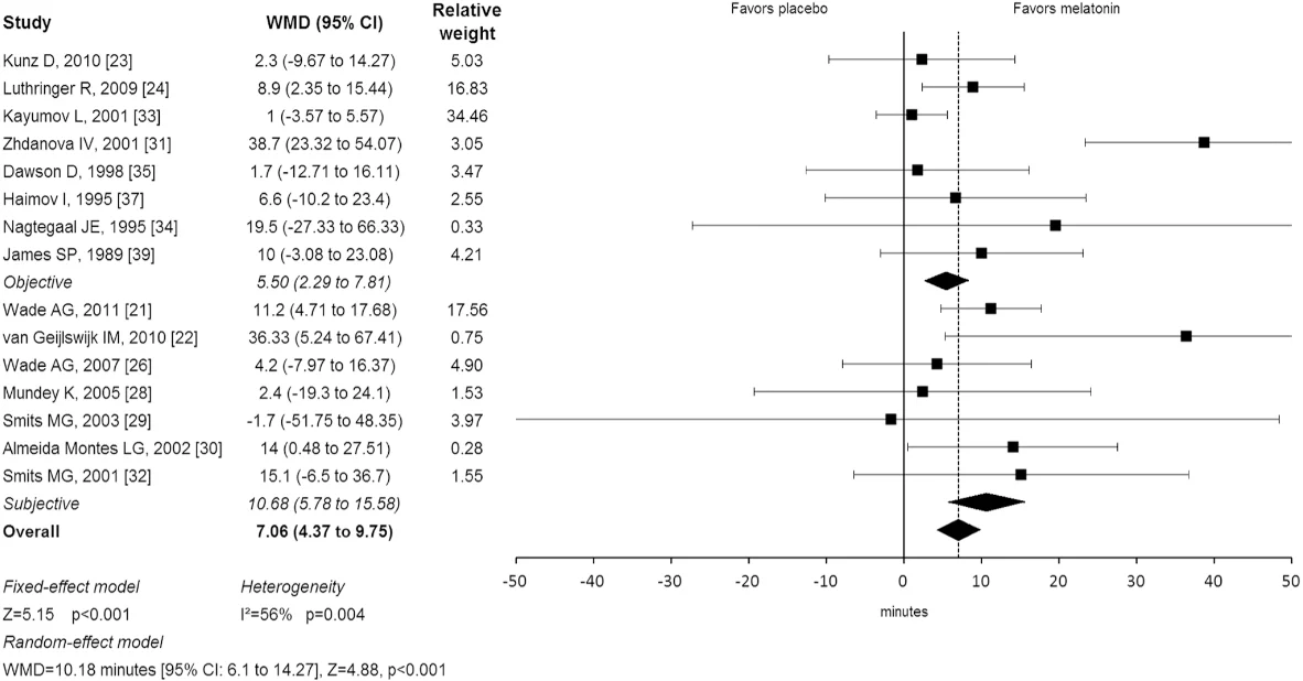
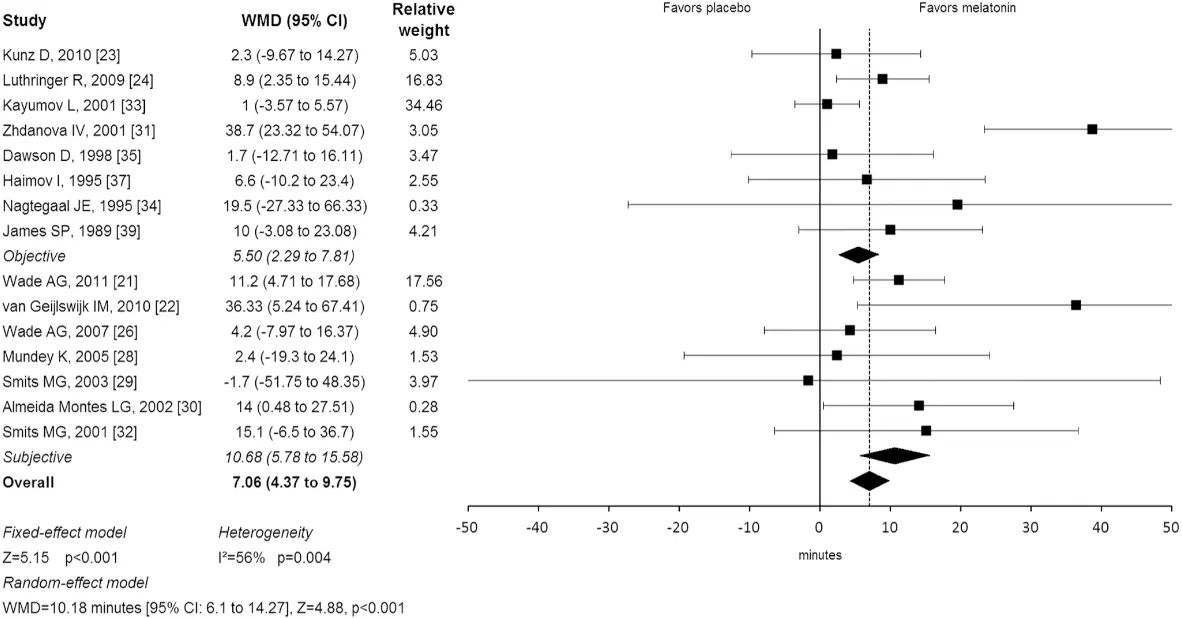
멜라토닌 수면 입면 효과 논문 자료
멜라토닌 입면에 효과, 위약을 받은 피실험자들보다 평균 7분 일찍 잠들었다. (출처 - plos journals)

멜라토닌은 입면에는 유효하지만 수면유지 작용이 제한적이고, 불규칙한 생체리듬에서는 효과 편차가 크며, 다음날 컨디션에 영향을 주는 잔여 효과가 있습니다.

멜라토닌은 '수면 호르몬'으로 알려져 있지만, 실제로는 '잠들 시간'을 알리는 신호 물질이에요. 입면을 앞당기는 효과는 있지만, 깊은 수면을 유지하거나 수면의 질을 개선하는 작용은 제한적입니다.

입면에는 유효, 수면유지 작용은 제한적

멜라토닌은 입면 시간을 평균 7분 정도 단축 시키지만, 총 수면 시간 증가나 중간 각성 감소 효과는 크지 않아요.

멜라토닌의 주요 작용은 시상하부의 MT1 수용체에 결합해 수면 신호를 보내는 거예요. 이는 '잠들 준비'를 하라는 신호일 뿐, 수면 구조를 직접 개선하지는 않아요. 특히 속방정 형태의 멜라토닌은 50분~1시간 만에 혈중 농도가 떨어져 새벽에 깨는 문제를 해결하기 어렵습니다.

멜라토닌과 수면의 질을 연구한 메타분석에 따르면, 멜라토닌 섭취 시 입면 시간은 평균 7.2분 단축되지만 총 수면 시간은 8.25분만 증가해 임상적으로 유의미한 수준은 아니라고 보고했어요. 특히 수면 유지나 깊은 수면 비율 개선 효과는 확인되지 않았습니다.

멜라토닌 강제 수면 문제
멜라토닌 남용 문제를 지적하는 기사 (출처 - 매일경제)

불규칙한 생체리듬에서 나타나는 효과 편차

교대근무자는 체내시계가 불안정해 멜라토닌의 효과가 일정하지 않고, 개인차도 커요.

멜라토닌은 간에서 CYP1A2라는 효소로 분해되는데, 이 효소의 활성도는 유전적 요인, 흡연, 카페인 섭취, 스트레스 수준에 따라 크게 달라져요. 빠른 대사자는 멜라토닌이 30분 만에 사라져 효과를 못 느끼고, 느린 대사자는 다음 날 아침까지 남아 몽롱함을 경험합니다.

특히 교대근무자는 코티솔 리듬이 무너져 있어 멜라토닌만으로는 각성을 충분히 억제하기 어려워요. 야간근무 후 멜라토닌을 먹어도 코티솔이 여전히 높으면 입면이 어렵고, 설사 잠들어도 얕은 수면만 반복되죠.

다음날 컨디션에 영향을 주는 잔여 효과

서방정 멜라토닌은 수면유지에 도움이 되지만, 아침까지 약효가 남아 몽롱함과 피로감을 유발할 수 있어요.

합성 멜라토닌 서방정은 7~8시간 동안 천천히 방출되도록 설계됐어요. 수면유지에는 유리하지만, 개인의 대사 속도가 느리면 아침까지 멜라토닌이 남아 '수면 관성'을 일으켜요. 이는 아침에 일어나기 어렵고, 오전 내내 집중력이 떨어지는 원인이 돼요.

서방형 멜라토닌은 방출 시간이 길어 수면유지에는 도움이 되지만, 일부 사용자들은 다음날까지 잔여감이나 졸림을 경험했다고 보고돼요.

효능 지속 시간이 개인마다 크게 달라서, 대사 속도가 느린 경우 근무 시작 시점까지 멜라토닌 영향이 남아 집중력이 떨어질 수 있어요.

교대근무 불면증 극복, 멜라토닌 대체제 선택 가이드

교대근무 불면증 극복 방법, 멜라토닌 대체 영양제

수면유지와 리듬 안정, 긴장 조절을 중심으로 락티움·테아닌·마그네슘 조합이 멜라토닌 대체제가 될 수 있어요.

멜라토닌이 맞지 않거나 효과가 제한적이라면, 비호르몬 기반 수면 영양제가 도움이 됩니다. 특히 교대근무자처럼 불규칙한 리듬을 가진 분들에게는 호르몬 조절보다 신체의 자연스러운 이완 반응을 돕는 성분이 더 효과적일 수 있어요.

밤사이 깨지지 않는 ‘수면 안정성’을 높여주는 구성

교대근무자는 잠드는 과정보다 자다가 여러 번 깨는 ‘수면 유지 문제’가 더 자주 나타납니다.

낮에도 각성이 높게 유지되기 때문에, 작은 자극에도 쉽게 깨어나고 다시 잠드는 데 시간이 걸리기 쉬운 패턴이 생기죠.

락티움은 이런 ‘과각성(Over-arousal)’이 심한 환경에서 수면 흐름을 안정시키는 데 사용되는 성분이에요. 불안·긴장처럼 뇌가 계속 깨어 있으려는 신호를 완화해 잠이 끊기지 않고 이어질 수 있는 기반을 만들어주는 방식입니다.

락티움과 테아닌을 함께 섭취한 임상시험에서는 수면 중 깨어 있는 시간이 감소하고, 총 수면 시간과 수면 효율이 개선되는 변화가 보고되었어요.

교대근무처럼 생체리듬이 쉽게 흔들리는 환경에서는 잠드는 속도보다 일단 잠들면 오래 유지되는 흐름이 더 중요해요.

락티움 기반 조합은 이러한 수면 안정성(sleep continuity)을 보완할 수 있는 근거가 있어 교대근무자에게 자연스럽게 연결되는 수면 케어 성분으로 활용돼요.

락티움, 테아닌 수면의 질, 수면 시간, 입면 시간 개선 효과
락티움·테아닌 복합 섭취 후 수면의 질, 총 수면 시간, 입면 시간이 모두 유의하게 개선된 임상 결과 (출처 - PMC8838692)

신경·근육계 안정에 관여하는 구성

마그네슘은 근육 긴장을 풀고 신경 전달을 안정시켜 깊은 수면을 유도합니다.

마그네슘은 300개 이상의 효소 반응에 관여하며, 특히 NMDA 수용체를 차단해 신경 과흥분을 억제해요. 교대근무로 인한 만성 스트레스는 마그네슘 소모를 증가시켜 결핍 상태를 만들고, 이는 근육 경련, 불안, 수면 장애로 이어져요.

마그네슘 글리시네이트 형태로 300~400mg을 섭취하면 생체이용률이 높아 수면 개선 효과가 커요.

GABA 활성화로 수면 리듬 신호를 강화하는 구성

락티움과 테아닌은 각각 GABA 수용체 활성화와 알파파 증가로 수면 신호를 강화해요.

락티움의 GABA 작용

락티움은 뇌의 GABA A형 수용체에 결합해 억제성 신경전달을 활성화해요. GABA는 뇌에서 흥분을 억제하고 진정 효과를 주는 주요 신경전달물질이에요. 락티움이 GABA 수용체를 활성화하면 신경 활동이 차분해지고, 심박수와 혈압이 안정되며, 수면 모드로 전환이 쉬워져요.

테아닌의 알파파 증가

테아닌은 뇌파 중 '이완 상태'를 나타내는 알파파(8~13Hz)를 증가시켜요. 알파파는 명상이나 졸음이 오기 직전에 우세하게 나타나는 파동으로, 긴장을 풀고 편안한 상태를 만들어줘요.

이 두 성분을 함께 섭취하면 GABA 시스템 활성화와 뇌파 안정이 동시에 이루어져 더 빠르고 깊은 수면이 가능해요.

교대근무자가 고려할 수 있는 멜라토닌 대체 영양제 조합

락티움 + 테아닌 + 마그네슘 + 비타민B6 조합이 전체 수면 주기를 관리해요.

영양 성분별 수면 작용

수면 단계

핵심 성분

작용

긴장 완화

테아닌

알파파 증가, 심리적 안정

입면 유도

락티움

코티솔 조절, GABA 활성화

수면 유지

마그네슘

근육 이완, 깊은 수면 유도

호르몬 합성

비타민B6

세로토닌·멜라토닌 생성 지원

녹트리서치 슬립케어는 이 4가지 성분을 식약처 인정 기능성 원료로 배합한 제품이에요. 특히 국내 최초·유일 임산부 섭취 인증(Two Safe Blue Grade)을 받아 호르몬에 민감한 시기에도 안전하게 섭취할 수 있어요.

8년간 불면증을 겪은 KAIST 출신 대표가 직접 연구해 만든 만큼, 교대근무자처럼 복잡한 수면 문제를 겪는 분들에게 적합한 솔루션입니다.

교대근무자가 자주 묻는 질문(FAQ)

교대근무 간호사, 의사를 위한 수면장애 극복 방법 FAQ

Q1. 야간근무 후 바로 자는 것이 효과적인가요?

퇴근 후 최대한 빨리 잠자리에 드는 것이 생체리듬 혼란을 최소화해요.

야간근무 후 집에 가서 집안일을 하거나 TV를 보면 각성이 더 높아져 입면이 어려워져요. 퇴근 즉시 아침 햇빛을 차단하고, 집에 도착하면 바로 암막 환경에서 수면을 취하세요. 수면 전 가벼운 샤워나 스트레칭으로 근육을 이완시키면 더 좋아요.

Q2. 교대근무자의 낮잠은 어느 정도가 적절한가요?

야간근무 전 20~30분 정도의 짧은 낮잠이 각성도를 높여줘요.

90분 이상 자면 깊은 수면(NREM 3~4단계)에 들어가 수면 관성으로 오히려 더 피곤해질 수 있어요. 짧은 낮잠(power nap)은 오후 2~3시 사이에 취하면 야간근무 중 집중력 유지에 도움이 돼요. 단, 저녁 6시 이후 낮잠은 밤 수면을 방해할 수 있으니 피하는 것이 좋습니다.

Q3. 수면 케어 성분은 언제 섭취하는 것이 적절한가요?

수면 30분~1시간 전에 섭취하는 것이 가장 효과적이에요.

락티움과 테아닌은 섭취 후 30~60분 내에 혈중 농도가 최고치에 도달해요. 야간근무 후 퇴근해서 집에 도착한 즉시 섭취하고, 샤워와 간단한 루틴을 마친 후 잠자리에 들면 입면이 수월해져요. 공복이나 가벼운 식사 후 모두 가능하지만, 과식 후에는 소화 부담으로 수면이 방해될 수 있으니 주의하세요.

📚함께 읽으면 좋은 글 수면 질 높이는 생활습관은?

매일 밤 뒤척이는 교대근무자에게 필요한 건

"또 새벽 3시에 깼네..."

교대근무로 무너진 수면 패턴은 하루아침에 회복되지 않습니다. 하지만 생체리듬을 다시 맞추고, 스트레스 호르몬을 조절하며, 몸이 자연스럽게 이완될 수 있도록 돕는다면 충분히 개선할 수 있어요.

멜라토닌처럼 '잠들게 하는 것'에만 초점을 맞추면 근본적인 해결이 어려워요. 진짜 필요한 건 깊은 수면(NREM 3~4단계)을 충분히 확보하고, 수면 중 각성을 줄이며, 아침에 상쾌하게 일어나는 '수면의 질' 개선입니다.

KAIST 연구진이 만든 녹트리서치 슬립케어는 락티움·테아닌·마그네슘·비타민B6 조합으로 입면-수면유지-기상 컨디션까지 전체 수면 주기를 관리합니다.

매일 밤 깊게 자고, 매일 아침 가볍게 일어나는 경험을 슬립케어로 시작해보세요.

✍️

저자(Author): 김소정 녹트리서치 대표

김소정 대표는 KAIST를 졸업한 뒤 수면 영양 브랜드 '녹트리서치'를 창업했으며, IPHI 국제 성인수면코치 자격을 보유하고 있습니다. 8년간 스스로 겪었던 불면증 경험을 바탕으로, 과학 연구 기반의 수면영양제 '녹트리서치 슬립케어'를 만들었습니다. 녹트리서치는 락티움, 테아닌, 마그네슘을 배합한 비호르몬 수면 영양제 '슬립케어'를 중심으로, 호르몬 균형과 스트레스 관리를 통합적으로 고려한 맞춤형 수면 솔루션을 제공합니다.

Share article

녹트리서치

RSS·Powered by Inblog