카카오 회원 가입 시 2,000원 할인쿠폰
스토리 제품 블로그 제품 후기
NOCT Research Logo

나는 정말 게으른걸까? - ADHD의 과수면 원인과 극복 방법

충분히 잤는데 낮에 졸음이 쏟아지고 게으르다는 오해를 받아 고민이신가요? ADHD 과수면과 주간 졸음의 원인을 설명하고 뇌 각성 전략과 수면 질 개선 방법을 제시해 드릴게요. 락티움·테아닌 등 비호르몬제 성분을 상세히 다뤄 수면 문제를 개선할 수 있도록 도와드립니다!
김소정's avatar
김소정
Dec 10, 2025
나는 정말 게으른걸까? - ADHD의 과수면 원인과 극복 방법
Contents
ADHD의 수면 문제, '불면'이 전부가 아닙니다회복되지 않는 컨디션 - 과수면과 '브레인 포그’집중하려는 순간 꺼지는 뇌 - 강제 절전 모드 ‘졸음’ADHD 맞춤형 각성 전략 – 뇌를 깨우는 기술적절한 자극 주기‘지루함’ 쪼개기ADHD 맞춤형 숙면 전략– 수면 시간이 아니라 ‘밀도’를 높이는 솔루션락티움 (Lactium)- 얕은 잠을 깊은 숙면으로L-테아닌 (L-Theanine) ‘생각 폭주를 낮추는 알파파’마그네슘 (Magnesium) ‘긴장된 몸 이완하기’나를 비난하는 대신, 이해하는 것부터

8시간을 자면서 꿈도 안 꾸고 푹 잔 것 같은데, 회의 시간만 되면 눈꺼풀이 천근만근입니다.

남들도 다 피곤할 텐데 왜 유독 나만 버티지 못하는 걸까요? 쏟아지는 잠 때문에 혹여나 '태도가 불량하다', '게으르다'는 오해를 살까 봐 오늘도 마음을 졸입니다.

이런 증상을 겪는 많은 ADHD 당사자들은 스스로를 자책해요.

"나는 왜 이렇게 체력이 약할까?", "왜 이렇게 의지가 부족할까?"

하지만 잠깐 멈춰보세요!

이것이 의지 문제가 아니라, 뇌의 ‘각성 시스템’이 보내는 오작동 신호 때문이라면 어떨까요?

이 글에서 ‘게으름’이라는 오명을 쓰고 있는 ADHD의 졸음에 대해, 최신 연구들을 바탕으로 들여다보고 극복할 수 있는 방법을 제시해 드릴게요.

피곤업무 시간에 집중하지 못하고 있는 여자. 자고 일어나도 개운하지 않은 성인 ADHD를 묘사한 사진.

ADHD의 수면 문제, '불면'이 전부가 아닙니다

ADHD의 수면 문제는 쉽게 잠들지 못하는 ‘불면’만으로 설명 되지 않습니다.

성인 ADHD의 수면 문제를 연구한 논문에 따르면 , ‘과수면(Hypersomnia)’과 ‘주간 졸음(Daytime Sleepiness)’ 역시 ADHD에서 겪는 수면 문제의 중요한 축으로 보고 있습니다.

즉, 밤에 잠을 못 자는 괴로움만큼이나, 잠이 너무 많아 깨어나기 힘들거나, 낮에 갑자기 기절하듯 조는 문제 역시 ADHD의 수면 문제인 것이죠.

회복되지 않는 컨디션 - 과수면과 '브레인 포그’

과수면 여부를 판단할 때는 ‘얼마나 잤는지’보다 ‘자고 나서 어떤 상태인지’를 보는 게 중요합니다.

주말에 10–12시간 몰아서 잤는데도 몸이 무겁고, 머리가 잘 안 돌아가는 경험 있으신가요?

ADHD에서 보고되는 과수면의 핵심은 잠을 많이 자는데도 회복되지 않는다는 점입니다.

아침에 눈은 떴지만 머릿속에 안개가 낀 것처럼 멍한 브레인 포그(Brain Fog) 상태가 몇 시간씩 이어지는 경우가 많아요.

수면의학에서는 이런 상태를 ‘수면 관성(Sleep Inertia)’이라고 부릅니다. 일반적으로 기상 후 뇌가 완전히 활성화되기까지는 15~30분 정도가 소요되지만, ADHD를 가진 이들은 이 과정이 현저히 지연되어 각성 상태로의 전환이 늦어집니다.

결과적으로 수면 시간과 무관하게 만성적인 피로감과 집중력 저하가 지속되며, 하루 중 상당 시간을 '반쯤 깬' 상태로 보내게 되는 거죠. 이는 단순한 게으름이 아니라, 각성·수면 조절 회로가 효율적으로 작동하지 않는 신경생리학적 특징에 가까워요.

일하다가 엎드려 자고 있는 남자의 모습. 성인 ADHD 환자가 지루한 과제를 수행할 때 겪는 졸음 현상을 표현한 이미지.

집중하려는 순간 꺼지는 뇌 - 강제 절전 모드 ‘졸음’

ADHD에서는 쉬고 있을 때보다, 오히려 집중하려는 순간에 졸음이 치솟는 패턴이 반복적으로 보고됩니다.

Helfer(2020) 연구팀은 성인 ADHD와 대조군에게 지루한 집중 과제(SART)를 시키며, 과제 수행 중의 졸림 정도와 뇌파를 측정했습니다.

그 결과, ADHD 그룹은 같은 과제를 하는 동안, 일반인보다 더 높은 주간 졸음(on-task sleepiness)을 보였고, 인지 과제에서의 실수(오류)와 반응속도 불안정성이 졸음과 밀접하게 연결되어 있었습니다.

또한 이 연구에서 ADHD 그룹은 대조군에 비해 느린 뇌파(델타·세타)가 상대적으로 증가하고, 빠른 뇌파(알파·베타)는 줄어든 이른바 EEG ‘슬로잉(slowing)’ 패턴을 보였어요.

쉽게 말해, 집중을 유지해야 하는 과제를 수행하는 동안에도 뇌파는 오히려 ‘몽롱한 상태’에 가까운 양상을 보인 것이죠.

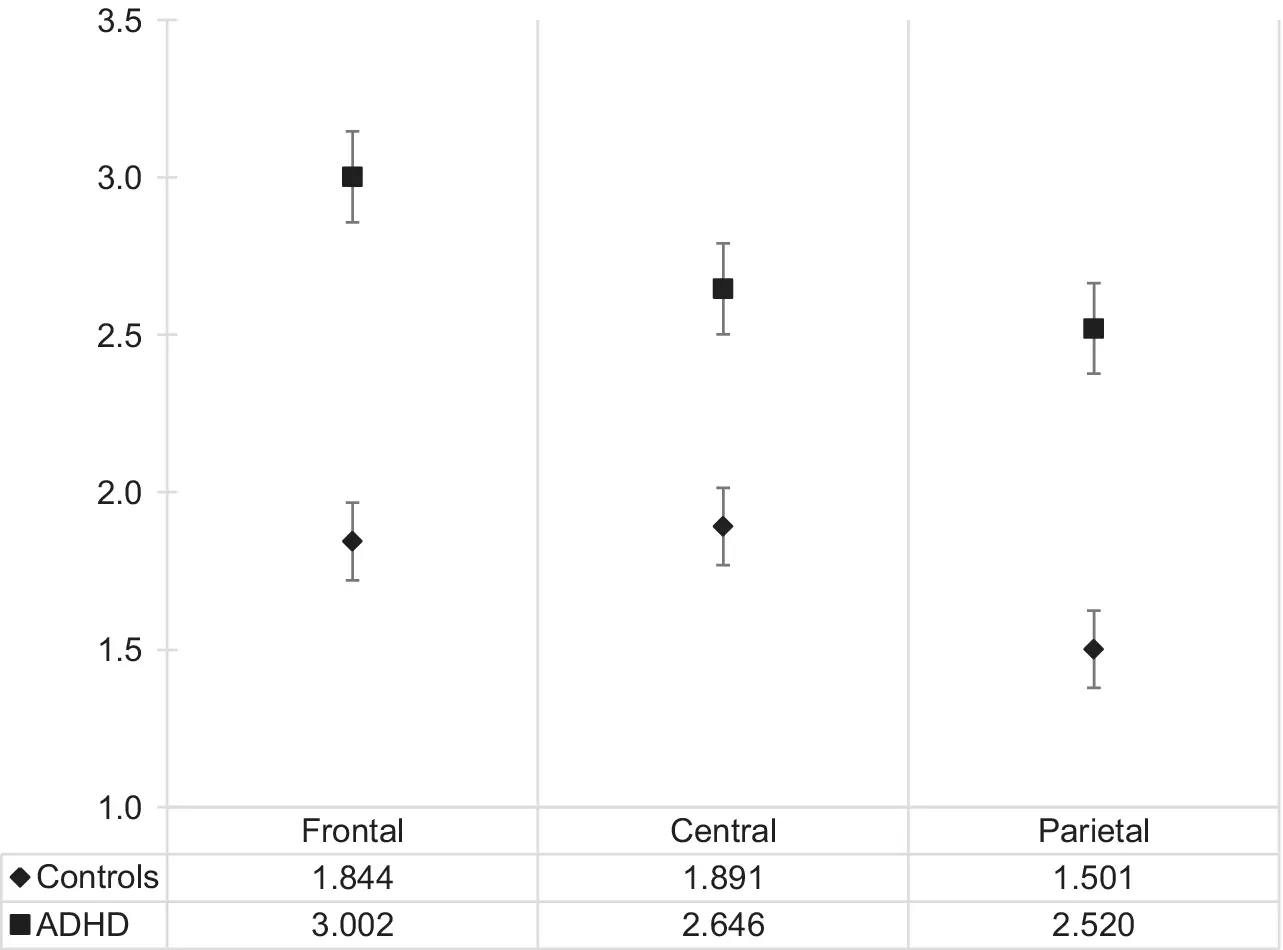
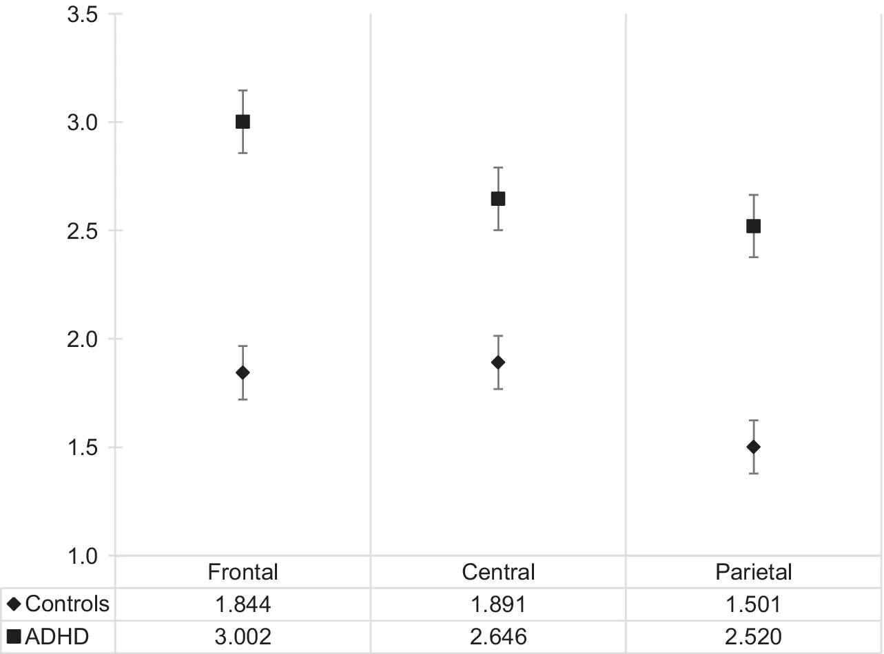
성인 ADHD의 증가하는 느린 뇌파를 보여주는 논문 자료 이미지
성인 ADHD와 대조군의 EEG 지수 비교. ADHD군이 대조군보다 세 영역 모두에서 값이 높아, 깨어 있는 상태에서 상대적으로 ‘느린 뇌파’ 비율이 증가해 있음을 보여줌 (출처 - Helfer et al., 2020)

이는 ADHD 뇌의 도파민 보상회로 특성과 관련이 있는데요. 일반적인 뇌는 지루한 상황에서도 ‘조금만 참자’며 각성을 유지할 수 있지만, 도파민 체계가 다르게 작동하는 ADHD의 뇌는 자극이 부족한 순간 에너지를 보존하기 위해 시스템을 절전 모드로 전환해버립니다.

넷플릭스를 볼 때는 밤새 말똥말똥한데, 책만 펴면 10분 만에 졸음이 쏟아지는 이유가 바로 여기에 있습니다. 이는 의지의 문제가 아니라, 자극이 부족할 때 쉽게 저각성(hypo-arousal) 상태로 떨어지는 신경생리학적 반응인 것입니다.

잠깐, 잠이 안 오는 문제가 더 심각하신가요?

만약 낮에 조는 것보다 밤에 잠들지 못하는 불면증이 주된 고민이라면, 이전에 발행한 ADHD 불면증 해결 방법 - 청소년부터 성인까지 ADHD를 위한 가이드를 먼저 확인해 보세요.

ADHD 예방법으로 Micro-Break을 하는 이미지. 유튜브, 넷플릭스 시청으로 도파민 보상하는 이미지.

ADHD 맞춤형 각성 전략 – 뇌를 깨우는 기술

대부분의 수면 팁은 ‘어떻게 하면 밤에 잘 잘까’에 초점을 맞춥니다.

하지만 과수면·브레인 포그가 중심인 ADHD 타입에게는 ‘어떻게 하면 낮에 깨어 있는 상태를 유지할까’에 집중하는게 중요해요. 즉, '적절한 각성'을 어떻게 유지하느냐가 핵심인 것이죠.

ADHD 맞춤형 ‘뇌 깨우기’ 전략 4가지를 정리해 드릴게요!

적절한 자극 주기

졸릴 때 억지로 참거나 책상에 엎드리는 건, 뇌 입장에선 ‘절전 모드를 더 깊게’ 밟는 것과 비슷해요.

뇌가 지루하다고 신호를 보낼 때는 전정기관(균형 감각)을 자극하는 쪽이 낫습니다. ‘제자리에서 1–2분 가볍게 걷기나 스탠딩 데스크를 활용해 서서 타이핑 하기’ 같은 짧은 움직임만으로도 “지금은 깨어 있어야 한다”는 신호가 뇌간 각성계로 전달됩니다.

커피냅 효과 관련 기사 이미지
커피냅 효과 관련 기사 이미지 캡처

‘지루함’ 쪼개기

단조로운 일을 오래 붙들고 있을수록 ADHD 뇌에서는 졸음이 급격히 올라옵니다. 따라서 집중력을 유지할 수 있게 지루함을 쪼개는 것이 방법이 될 수 있어요.

Micro-Break: 20분 집중 후, 3분간 ‘의도적인 딴짓’을 허용해보세요. 좋아하는 음악을 듣거나 유튜브 쇼츠를 딱 3개만 보는 식으로 뇌에 '도파민 보상'을 주는 것이죠. (단, 알람 필수!)

환경 리셋: 같은 자리·같은 화면만 계속 보면 뇌는 그 공간을 지루한 곳으로 학습해요. 노트북을 들고 회의실, 도서관, 카페 등 장소를 옮기는 것만으로도 환경 자극이 달라지면서 각성이 더 유지될 수 있습니다.

깊은 잠에 빠져 있는 여성.  양질의 깊은 수면과 휴식을 나타내는 이미지.

ADHD 맞춤형 숙면 전략– 수면 시간이 아니라 ‘밀도’를 높이는 솔루션

맑은 정신으로 깨어있으려면, 밤에는 확실하게 쉬어줘야 해요. 이 때 중요한 건 수면 시간이 아닌 수면의 ‘밀도’입니다. 우리는 흔히 잠을 ‘시간’으로 계산하지만, 10시간을 누워 있어도 뇌가 얕은 잠만 잤다면 몸은 충분히 회복되지 않아요.

하지만 ADHD가 있는 경우 이미 치료제·항우울제를 복용하는 일이 흔하고, 여기에 수면제나 호르몬성의 멜라토닌까지 더하는 건 부담스럽게 느껴질 수 있습니다.

이럴 때는 우리 몸의 이완 시스템을 돕는 '비멜라토닌·비호르몬' 성분들을 활용해 수면의 질을 회복하는 것이 안전한 대안이 될 수 있어요.

락티움 (Lactium)- 얕은 잠을 깊은 숙면으로

많은 과수면 환자들이 "꿈을 너무 많이 꾼다"고 호소합니다. 이는 뇌가 서파 수면(Slow-wave sleep, 깊은 잠)에 들어가지 못하고 얕은 렘수면 상태에서 맴돈다는 신호입니다.

이때 락티움(유단백가수분해물)이 도움이 될 수 있어요. 락티움은 스트레스 호르몬(코르티솔)을 조절하고, 뇌 속 GABA(가바) 수용체의 작용을 활성화 시켜 자연스럽게 깊은 잠을 유도합니다.

ADHD 환자는 각성 상태를 유지하느라 코르티솔(스트레스 호르몬) 수치가 높은 경향이 있어요. 락티움은 이를 완화하여 뇌가 외부 자극에 덜 민감해지도록 돕습니다. 10시간을 자도 멍하던 머리가 7시간만 자도 개운해진다면, 수면 밀도의 회복 신호일 수 있습니다.

💡

학술지 Nutrients(2019)에 게재된 연구에 따르면, 락티움(유단백가수분해물)을 4주간 섭취한 그룹은 대조군에 비해 총 수면 시간뿐만 아니라 수면 효율(Sleep Efficiency)이 유의미하게 개선되었습니다. 이는 단순히 잠든 시간이 늘어난 게 아니라, 중간에 깨지 않고 푹 잔 비율이 높아졌음을 시사합니다.

L-테아닌 (L-Theanine) ‘생각 폭주를 낮추는 알파파’

자고 일어났는데도 머리가 멍한 '브레인 포그'는, 자는 동안 뇌가 쉬지 않고 잡생각을 처리하느라 에너지를 썼기 때문일 수 있어요.

이럴 때 녹차의 L-테아닌은 뇌파를 ‘안정된 이완 상태(알파파)’로 조율하여 뇌의 휴식을 돕습니다. ADHD처럼 생각이 멈추지 않고 폭주하는 타입에게 L-테아닌은 생각의 과부하를 한 단계 낮춰 뇌가 잠들 준비를 할 수 있게 도와줄 수 있어요.

💡

알파파(Alpha Wave)는 명상을 하거나 멍하니 휴식할 때 나오는 뇌파(8~12Hz)입니다. Asia Pacific Journal of Clinical Nutrition의 연구 결과에 따르면, L-테아닌 섭취 후 약 40분 이내에 피실험자의 뇌에서 알파파 생성이 활발해짐이 관찰되었습니다. 이는 뇌를 강제로 재우는 것이 아니라, ‘이완된 각성(Relaxed Alertness)’ 상태를 유도하여 자연스러운 입면을 돕는다는 것을 의미해요.

마그네슘 (Magnesium) ‘긴장된 몸 이완하기’

마그네슘은 신경과 근육의 긴장을 이완시키는 미네랄로, 자는 동안의 물리적인 뒤척임을 줄여 수면이 이어지게 돕습니다.

특히 ADHD는 뇌뿐만 아니라 신체적 긴장도도 높은 경우가 많아요. 자면서 다리를 떤다거나, 몸을 계속 뒤척이거나, 근육이 순간 움찔거리는 반응들은 당사자는 기억하지 못해도 수면 사이클을 잘게 깨뜨리는 요인이 될 수 있습니다.

💡

Journal of Research in Medical Sciences에 발표된 연구에서는 마그네슘 보충이 불면 증상을 가진 노인들의 입면시간(잠들기까지 걸리는 시간)을 단축하고 코르티솔 수치를 낮췄다고 보고했습니다. 이는 마그네슘이 신경계를 진정시켜 신체를 '수면 모드'로 전환하는 데 도움이 된다는 것을 보여줍니다.

📚 함께 읽으면 좋은 글 수면영양제 꼭 확인해야 하는 5가지

나를 비난하는 대신, 이해하는 것부터

매번 꾸벅꾸벅 졸고, 오전 내내 머리에 안개가 낀 듯 멍한 느낌. 그동안 당신은 그 모습을 보며 "나는 왜 이렇게 게으를까"라고 스스로를 몰아세웠을지 모릅니다.

하지만 앞서 살펴봤듯, ADHD의 과수면과 졸음은 태도나 의지의 문제가 아니라, 뇌의 각성 시스템이 다르게 작동하는 신경생리학적 특성에 가까워요.

따라서 낮 동안의 물리적 자극, 환경 변화, 전략적 휴식으로 각성을 유지하고, 밤에는 비호르몬 기반의 안전한 자연 유래 성분으로 수면 질을 높이는 양방향 접근이 필요합니다.

오늘부터는 스스로를 자책하는 대신, 내 뇌가 보내는 신호를 이해하고 적절히 대응하는 연습을 시작해보세요. 작은 변화가 쌓여, 하루를 상쾌하게 시작하는 출발점이 될거에요.

👉 호르몬 걱정없는 녹트리서치 슬립케어 솔루션 확인하기

✍️

저자(Author): 김소정 녹트리서치 대표

김소정 대표는 KAIST를 졸업한 뒤 수면 영양 브랜드 '녹트리서치'를 창업했으며, IPHI 국제 성인수면코치 자격을 보유하고 있습니다. 그는 오랜 세월 스스로 겪었던 불면증 경험을 바탕으로, 과학 연구 기반의 수면영양제 '녹트리서치 슬립케어'를 만들었습니다. 녹트리서치는 락티움, 테아닌, 마그네슘을 배합한 비호르몬 수면 영양제 '슬립케어'를 중심으로, 호르몬 균형과 스트레스 관리를 통합적으로 고려한 맞춤형 수면 솔루션을 제공합니다.

참고 문헌

[1] Helfer, B., Bozhilova, N., Cooper, R. E., Douzenis, J. I., Maltezos, S., & Asherson, P. (2020). The key role of daytime sleepiness in cognitive functioning of adults with attention deficit hyperactivity disorder. European psychiatry : the journal of the Association of European Psychiatrists, 63(1), e31. https://doi.org/10.1192/j.eurpsy.2020.28

[2] Kim, H. J., Kim, J., Lee, S., Kim, B., Kwon, E., Lee, J. E., Chun, M. Y., Lee, C. Y., Boulier, A., Oh, S., & Lee, H. W. (2019). A Double-Blind, Randomized, Placebo-Controlled Crossover Clinical Study of the Effects of Alpha-s1 Casein Hydrolysate on Sleep Disturbance. Nutrients, 11(7), 1466. https://doi.org/10.3390/nu11071466

[3] Nobre, A. C., Rao, A., & Owen, G. N. (2008). L-theanine, a natural constituent in tea, and its effect on mental state. Asia Pacific journal of clinical nutrition, 17 Suppl 1, 167–168.

[4] Abbasi, B., Kimiagar, M., Sadeghniiat, K., Shirazi, M. M., Hedayati, M., & Rashidkhani, B. (2012). The effect of magnesium supplementation on primary insomnia in elderly: A double-blind placebo-controlled clinical trial. Journal of research in medical sciences : the official journal of Isfahan University of Medical Sciences, 17(12), 1161–1169.

[5] 김주영, 곽호완, 장문선. (2010). 성인 ADHD 성향군의 우울·불안과 수면의 질의 관계. 상담학연구, 11(1), 75-89.

Share article

녹트리서치

RSS·Powered by Inblog